Tunnetko kasvuston hivenlannoitustarpeet?

Lehtilannoitus on tehokas tapa varmistaa kasvuston hivenravinteiden saanti. YaraVita GRAMITREL B on juokseva ravinnetiiviste, joka sisältää tasapainoisen yhdistelmän hivenravinteita, kuten mangaania, booria, magnesiumia, kuparia ja sinkkiä.

Megalab


Hivenravinteilla on niiden määrällisesti pienestä tarpeesta huolimatta tärkeä merkitys sadonmuodostuksessa. Useat ravinteet vaikuttavat myös viljan laatutekijöihin. 

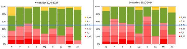
Yara Megalab -kasvustoanalyysin tulosten yhteenvedosta selviää, että syysvehnäkasvustoissa eriasteiset ravinnepuutteet ovat yleisempiä kuin kevätviljoilla. Erityisesti fosforin, boorin, mangaanin ja sinkin puutteet korostuvat syysvehnässä verrattuna kevätviljoihin.  

Megalab taulukko

 

Yhdistä lehtilannoitus rikka-, kasvunsääde- tai tautiainekäsittelyn kanssa samaan tankkiseokseen! Aineiden yhteensopivuudet voit tarkistaa Tankmix.com-palvelusta. 

Lue lisää Megalabista